• Предмет: Алгебра
  • Автор: angelamedkolleg
  • Вопрос задан 3 года назад

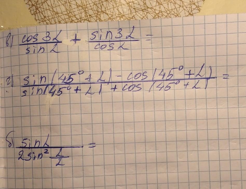
Пожалуйста упростите !!!!!!​

Приложения:

Ответы

Ответ дал: NNNLLL54
1

1)\ \ \dfrac{cos3a}{sina}+\dfrac{sin3a}{cosa}=\dfrac{cos3a\cdot cosa+sin3a\cdot sina}{sina\cdot cosa}=\dfrac{cos2a}{0,5\cdot sin2a}=2\, ctga\\\\\\2)\ \ \dfrac{sin(45+a)-cos(45+a)}{sin(45+a)+cos(45+a)}=\\\\\\=\dfrac{sin45\cdot cosa+cos45\cdot sina-(cos45\cdot cosa-sin45\cdot sina)}{sin45\cdot cosa+cos45\cdot sina+cos45\cdot cosa-sin45\cdot sina}=\\\\\\=\dfrac{\frac{\sqrt2}{2}\cdot (cosa+sina-cosa+sina)}{\frac{\sqrt2}{2}\cdot (cosa+sina+cosa-sina)}=\dfrac{2\, sina}{2\, cosa}=tga

3)\ \ \dfrac{sina}{2sin^2\frac{a}{2}}=\dfrac{2\, sin\frac{a}{2}\cdot cos\frac{a}{2}}{2\, sin^2\frac{a}{2}}=\dfrac{cos\frac{a}{2}}{sin\frac{a}{2}}=ctg\dfrac{a}{2}

Вас заинтересует