• Предмет: Алгебра
  • Автор: anutavi
  • Вопрос задан 3 года назад

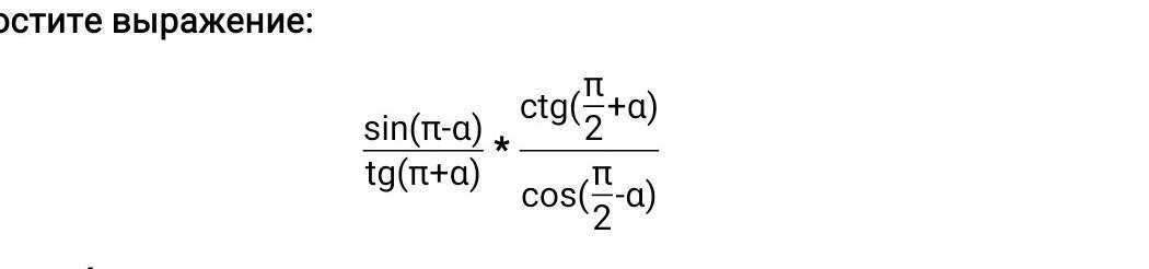
СРОЧНО!!! ПОМОГИТЕ ПОЖАЛУЙСТА даю 25 баллов
упростите выражение​

Приложения:

Ответы

Ответ дал: karabekovbatyr
0

Ответ:кайтарь соs=22

Объяснение:


anutavi: а есть решение?
Вас заинтересует