• Предмет: Математика
  • Автор: blomfield
  • Вопрос задан 3 года назад

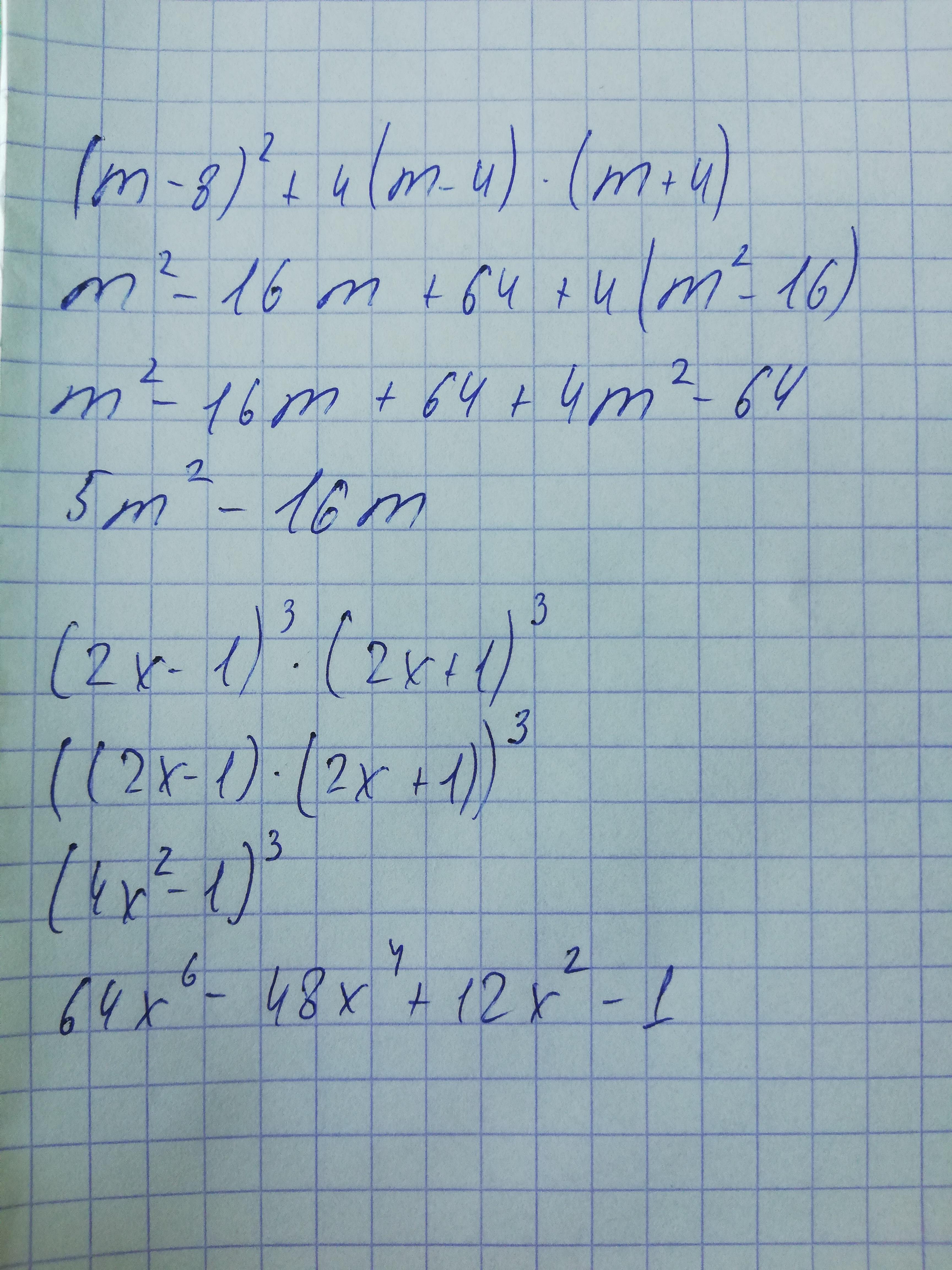
Упростите выражения:

(m-8)^2+4(m-4)(m+4)

(2x-1)^3 (2x+1)^3

Ответы

Ответ дал: Danondindon
2

Ответ:

Пошаговое объяснение:

Приложения:

blomfield: ого спасибо
Вас заинтересует