Ответы
Ответ дал:
6
Ответ:
Внизу.
Пошаговое объяснение:
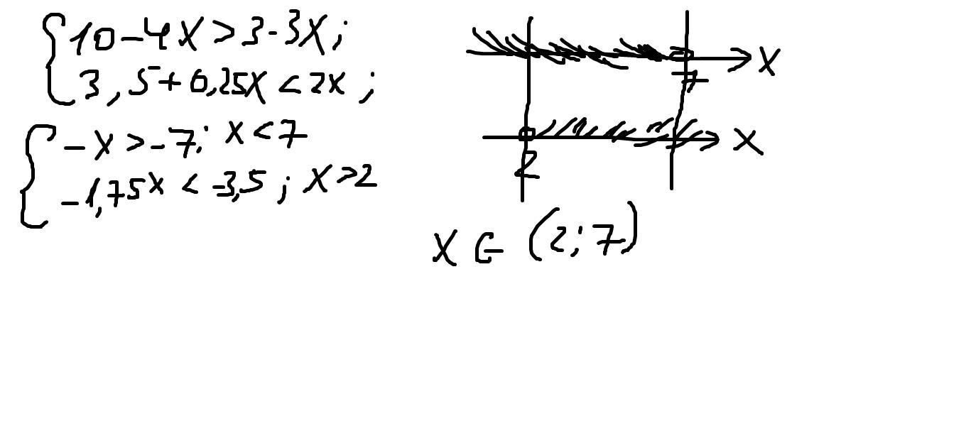
x ∈ ( 2;7)
Приложения:

Вас заинтересует
2 года назад
8 лет назад
8 лет назад
9 лет назад