• Предмет: Математика
  • Автор: spikestar3887
  • Вопрос задан 3 года назад

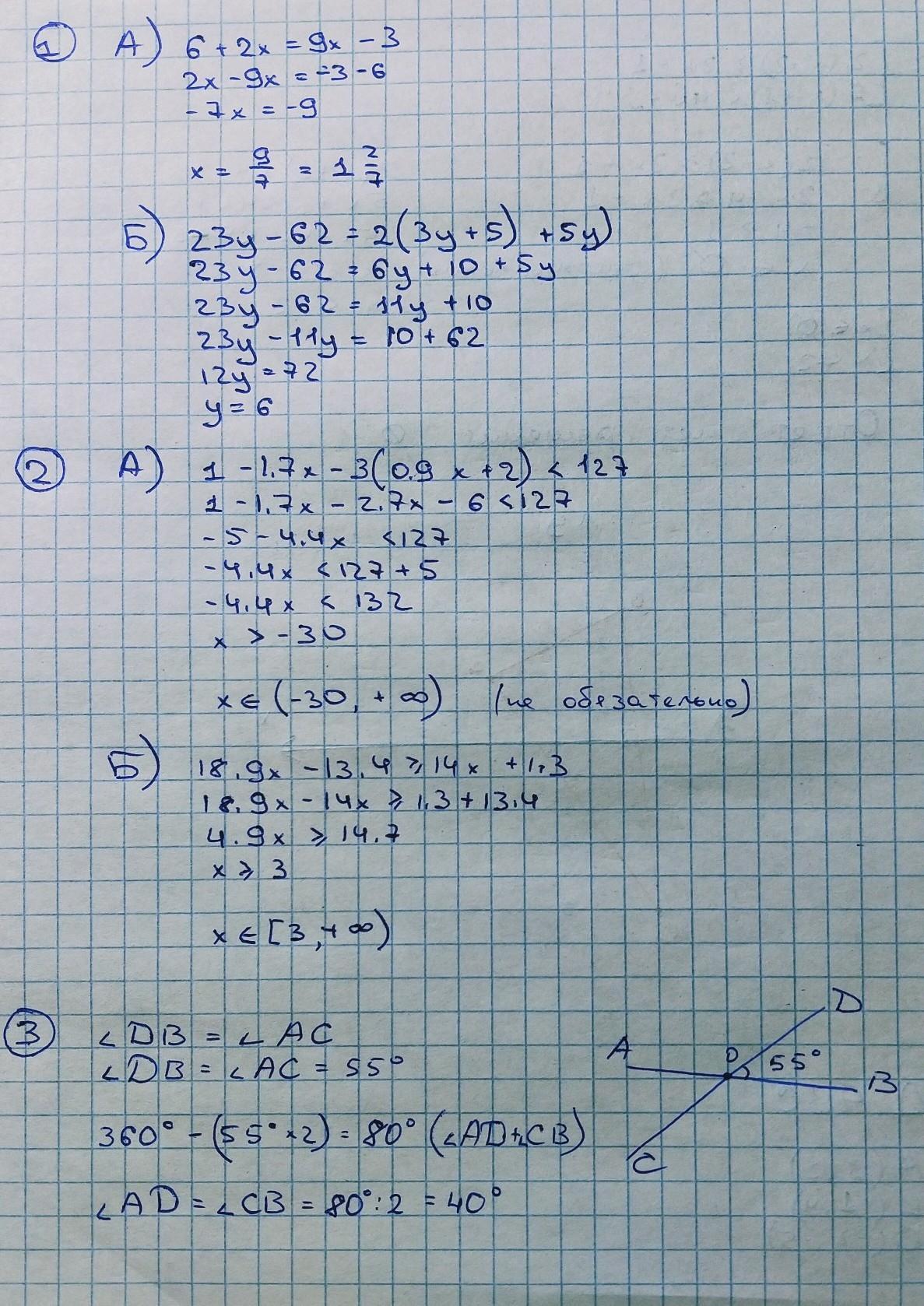
Помогите со всеми заданиями срочно!
ДАМ 40 БАЛЛОВ

Приложения:

Ответы

Ответ дал: mirsoatovasaida22
1

Ответ:

Вот правильные ответы

Лвььвьвььв

Приложения:

spikestar3887: ОТ ДУШИ)
Вас заинтересует