Ответы
Ответ дал:
0
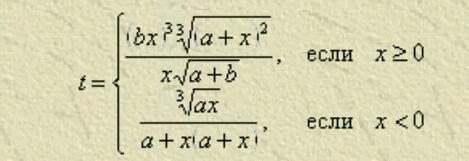
if(x>=0)then
t:=((b*b*b*x*x*x)*exp(ln((a+x)*(a+x))/3))/(x*sqrt(a+b))
else
t:=(exp(ln(a*x)/3))/(a+x*(a+x))
t:=((b*b*b*x*x*x)*exp(ln((a+x)*(a+x))/3))/(x*sqrt(a+b))
else
t:=(exp(ln(a*x)/3))/(a+x*(a+x))
Вас заинтересует
3 года назад
3 года назад
8 лет назад
11 лет назад
11 лет назад
11 лет назад