Помогите решить, подалуйста.
Тема: Показательные финкции.
1. Решите уравнение:
а) (1/3)^4-2х=9
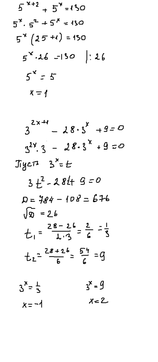
б) 5^х-2 -5^х=130
в) 3^2х+1 -28*3^х+9=0
Ответы
Ответ дал:
0
с последними двумя что-то не то
Приложения:

Ответ дал:
0
Я просто пробел сделала после степени.
Тобиж следующие идет не в степени.
Тобиж следующие идет не в степени.
Ответ дал:
0
Прошу прощенья. Там в б) 5^х+2 +5^х=130
Ответ дал:
0
решениееееееееееееее
Приложения:

Ответ дал:
0
меня смущает третье задание. ОЧЕНЬ!!!
Ответ дал:
0
получила?
Ответ дал:
0
Да там опечатка была. В моей книжке стертые значения были
Вас заинтересует
2 года назад
2 года назад
8 лет назад
8 лет назад
10 лет назад
10 лет назад
10 лет назад