СРОЧНО ДАМ 25 БАЛЛОВ кадыралиев 5 класс ном.411 ст.162 распишите пожалуйста не просто да нет нет да а распишите ПОЖАЛУЙСТА ПРОШУ
Приложения:
                    
                            Ответы
                                            Ответ дал: 
                                                                                            
                                                    
                                                
                                                                                    
                                        
                                            
                                                
                                                
                                                
                                                    2
                                                
                                            
                                        
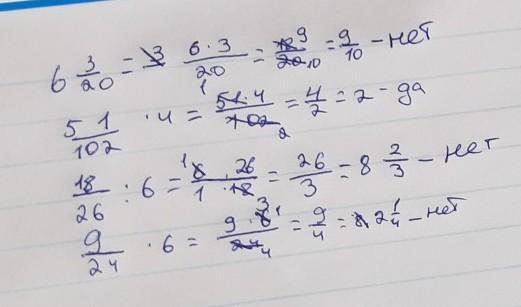
                                    Пошаговое объяснение:
то что у меня зачёркнуто, зачёркивай и ты
Приложения:
                    
                            
                    abdrazakovatamara:
                    я сейчас в следующем задании запишу 1 столбик можешь его тоже решить пж
                
            Вас заинтересует
                
                        2 года назад
                    
                
                        2 года назад
                    
                
                        8 лет назад
                    
                
                        8 лет назад
                    
                
                        9 лет назад
                    
                
                        9 лет назад