• Предмет: Математика
  • Автор: Avocado2009
  • Вопрос задан 3 года назад

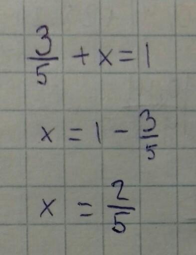
Решите уравнение с дробью:
3/5 + x = 1

ПОМОГИТЕ СРОЧНО

Ответы

Ответ дал: HinataHyuga50
1

Ответ:

Ответ: x=2/5

Пошаговое объяснение:

.........

Приложения:

Avocado2009: блин, значит все так просто? капец я тупая в математике... СПАСИБО ОГРОМНОЕ!!!!
Ответ дал: irinamiller2
1
Незнаю нужно ли так расписывать в уравнение или просто сразу писать ответ ,разберёшься
Приложения:

Avocado2009: тебе тоже огромное спасибо!!!!!! ❤️
Вас заинтересует
8 лет назад