• Предмет: Қазақ тiлi
  • Автор: ffharamreiper
  • Вопрос задан 3 года назад

көмектесиндерш отнемм бжб 4сынып Казак тили 3токсан​

Приложения:

Ответы

Ответ дал: ttnamedarxat
3

Ответ:

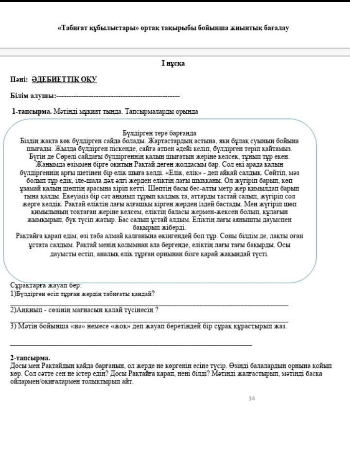
сурактарга жауап бер 2) анкыйып - сөзінің мағынасын калай? түсінесің

Вас заинтересует