• Предмет: Математика
  • Автор: dashavoronkova1982
  • Вопрос задан 3 года назад

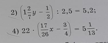
пж
по действиям!!!!пжжж​

Приложения:

Ответы

Ответ дал: arishatsvtkv
1

Ответ:

первое действие в скобках

Пошаговое объяснение:

дальше по логике


dashavoronkova1982: спс
Ответ дал: kirilshaccx
1

Ответ:

2) ,4) преложение :phoromach решает правильно!

Приложения:

dashavoronkova1982: спс
Вас заинтересует