• Предмет: Алгебра
  • Автор: bsultan2008
  • Вопрос задан 3 года назад

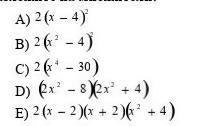
Разложить на множители: 2x⁴-32
ПОМОГИТЕ СРОЧНО!!!! ДАЮ 20 БАЛЛОВ​

Приложения:

Ответы

Ответ дал: MikeRex
0

Ответ:

A)2(x-4)²=2x²-16x+32

B)2(x²-4)²=2(x-2)²(x+2)²

C)2(x⁴-30)=2x⁴-60

D)(2x²-8)(2x³+4)=4(x²-4)(x³+2)

E)2(x-2)(x+2)(x²+4)=(x+2)(2x-4)(x²+4) либо 2x⁴-32

Объяснение:

Вас заинтересует