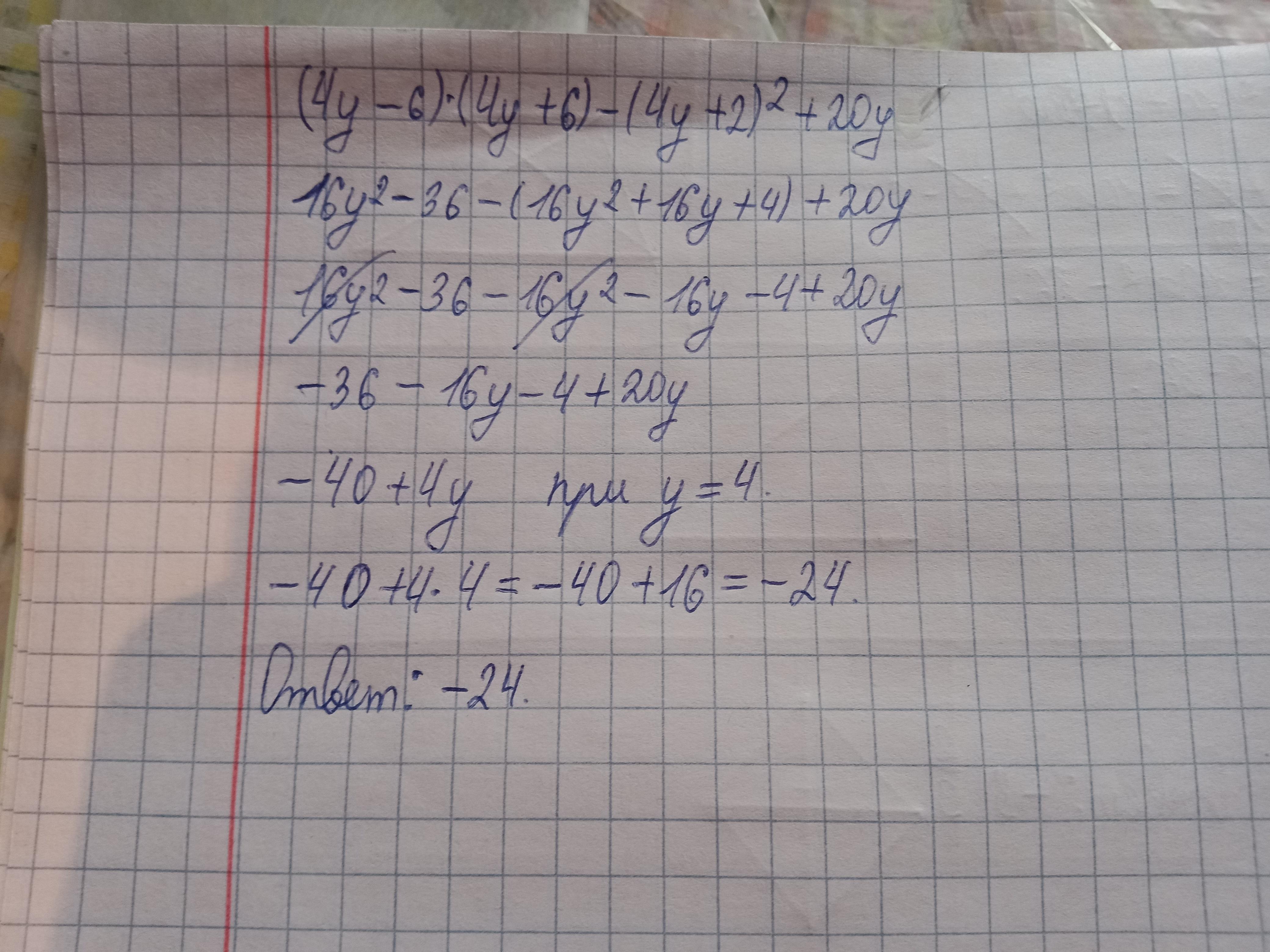
Найдите значение выражения:
(4y-6)(4y+6)-(4у + 2)²+20у при у=4
Пожалуйста, срочно, обязательно с решением!)
Ответы
Ответ дал:
1
Отметьте пожалуйста лучшим решением и поставьте сердечко
Приложения:

Вас заинтересует
2 года назад
2 года назад
2 года назад
8 лет назад
8 лет назад
9 лет назад