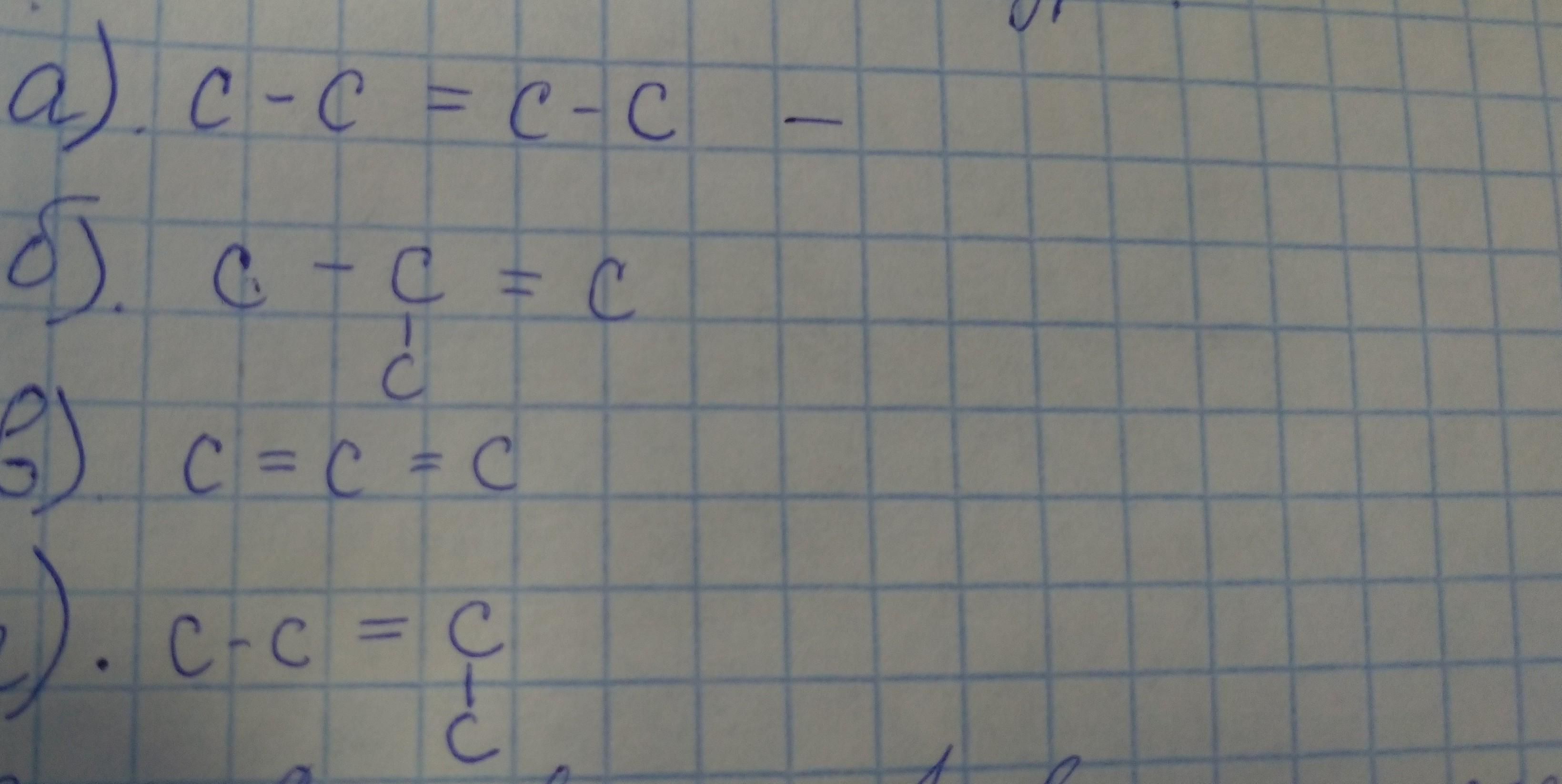
назовите угловодороды по систематической номенклатуре
а). с-с=с-с
б). с-с=с
с
в). с=с=с
г). с-с=с
с
Приложения:

Ответы
Ответ дал:
1
Ответ:
1 ) бутен - 2
2) 2-метилпропен-1
3) пропадиен
4) бутен - 2
Объяснение:
Вас заинтересует
2 года назад
2 года назад
2 года назад
8 лет назад
8 лет назад
9 лет назад