• Предмет: Алгебра
  • Автор: kubz8314
  • Вопрос задан 3 года назад

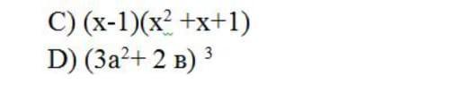
запиши в виде многочлена.
c) (x-1)(x²+x+1)
d)(3a²+2b)³​

Приложения:

Ответы

Ответ дал: petyakuprik250
1

(x-1)(x²+x+1)=x³+x²+x-x²-x-1=x³-1


kubz8314: А) (2а-в)(2а+в)=4а²+2ав-2ав-в²=4а²-в²
В) (х+5)²= х²+2х*5+5²=х²+10х+25
С) (х-1)(х²+х+1)=х³+х²+х-х²-х-1=х³-1
D) (3а²+2в)³=(3а²)³+3*(3а²)³*2в+3*3а²*(2в)³+(2в)³=27а⁶+3*27а⁶+2в+3*3а²*8в³+8в³= 27а⁶+162а⁶в+72а²в³+8в³.
kubz8314: если кому-то нужно
kubz8314: спасибо, ксати!
petyakuprik250: ))
petyakuprik250: сори я про C забил
petyakuprik250: кст там только С и D
kubz8314: на самом деле это просто я последние два не смогла решить, а так там есть а и в
petyakuprik250: ok
nikitakrylov0107: спасибо вам
Вас заинтересует