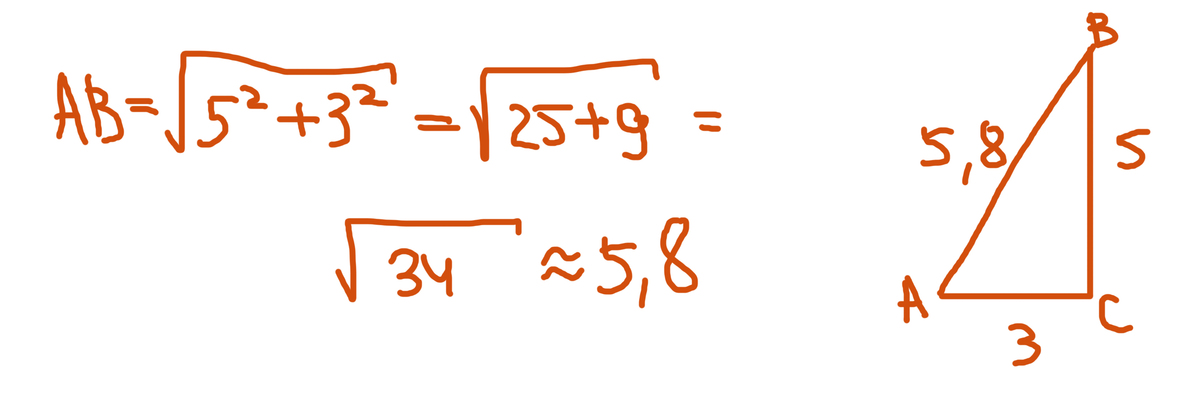
Начертите на нелинованной бумаге прямоугольный треугольник, у которого стороны, образующие прямой угол, равны 3см и 5см. Обозначьте его. Измерьте сторону,противолежащую прямому углу. Вычислите периметр треугольника.
Ответы
Ответ дал:
0
можно измерить, можно вычислить по теореме пифагора
тогда P=5+3+5.8=8+5.8=13.8 см
тогда P=5+3+5.8=8+5.8=13.8 см
Приложения:

Вас заинтересует
2 года назад
2 года назад
8 лет назад
10 лет назад
10 лет назад
10 лет назад