Ответы
Ответ дал:
2
Ответ:
Пошаговое объяснение:
Приложения:

natalasamsonov:
а как бали передовать?
Ответ дал:
1
Пошаговое объяснение:
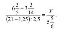
(6 3/5-3 3/14) / ((21-1,25):2,5)=х / 5 5/6
Х=(6 3/5-3 3/14)×5 5/6:((21-1,25):2,5
Х=(462-225)/70)×35/6:7,9
Х=237/70×35/6:7,9
Х=237/12:7,9
Х=19,75:7,9
Х=2,5
Вас заинтересует
2 года назад
2 года назад
2 года назад
8 лет назад
9 лет назад