❗️❗️❗️❗️ПОМОГИТЕ РЕШИТЬ ГРАФИЧЕСКИМ МЕТОДОМ ❗️❗️❗️❗️ ПОЖАЛУЙСТА ПОД БУКВОЙ A
Заранее спасибо
Приложения:

Ответы
Ответ дал:
2
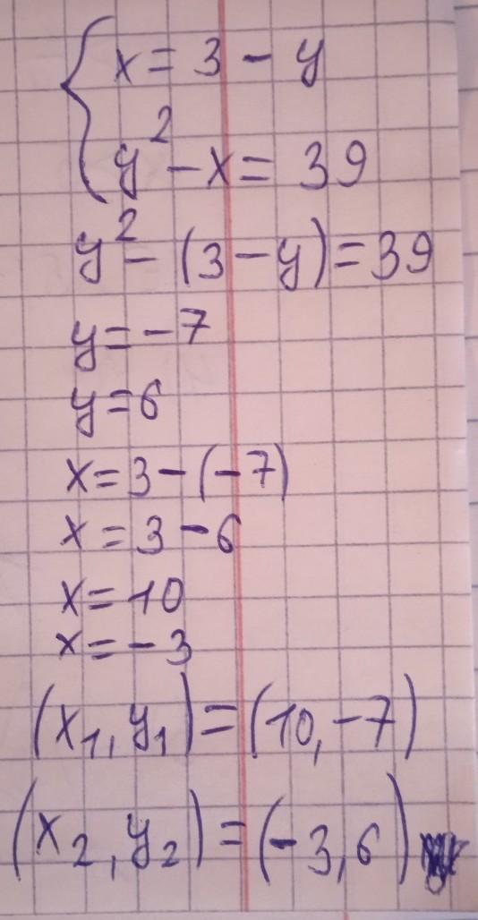
Вот ответ с подробным обьеснениям
Приложения:


vantasidor7890:
Нужно графическим методом
Вас заинтересует
2 года назад
2 года назад
2 года назад
2 года назад
8 лет назад
8 лет назад