• Предмет: Алгебра
  • Автор: Аноним
  • Вопрос задан 3 года назад

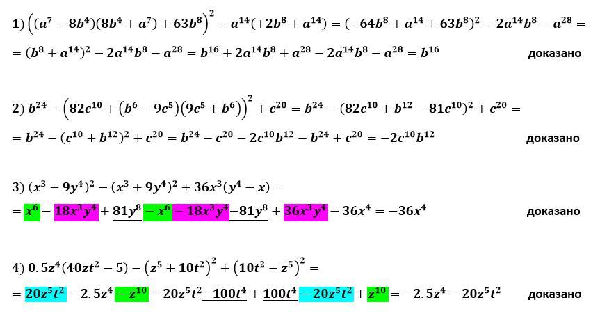
35.24. 1) ((a? - 864) (864 + a?) +6368)2 – a14(+268 + a14) = 616;
2) 624 - (82c10+ (66 - 9c")(9c5 + 66))2 + c20 = -2c10712;
3) (x3 – 9y4)2 – (x3 +9y4)2 + 36x®(y4 – x) = - 36x4;
4) 0,524(40zt2 – 5) - (25 + 10t2)2 + (10+2 – 25)2 = -2,524 - 2025t2.

Приложения:

Ответы

Ответ дал: bb573878
7

Ответ:

Объяснение:

````````````````````````````````````````````````````````````````````````````````````````

Приложения:
Вас заинтересует