• Предмет: Алгебра
  • Автор: ajnara
  • Вопрос задан 3 года назад

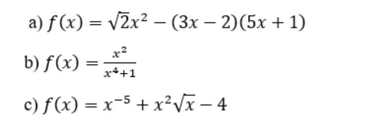
40 баллов.Найдите производные заданной функции​

Приложения:

Ответы

Ответ дал: Miroslava227
0

Ответ:

а

f'(x) =  \sqrt{2}  \times 2x - ((3x - 2)(5x + 1)) '=  \\  = 2 \sqrt{2} x - (15 {x}^{2}  + 3x - 10x - 2)' =  \\  = 2 \sqrt{2} x - (15 {x}^{2}  - 7x - 2)' =  \\  = 2 \sqrt{2} x - (30x - 7) =  \\  = 2 \sqrt{2}  - 30x + 7 =(2 \sqrt{2}  + 30)x - 7

б

f'(x) =  \frac{( {x}^{2})'( {x}^{4}   + 1) - ( {x}^{4}  + 1)' \times  {x}^{2} }{ {( {x}^{4} + 1) }^{2} }  =  \\  =  \frac{2x( {x}^{4}  + 1) - 4 {x}^{3}  \times  {x}^{2} }{ {( {x}^{4}  + 1)}^{2} }  =  \\  =  \frac{2 {x}^{5}  + 2x - 4 {x}^{5} }{ {( {x}^{4}   + 1)}^{2} }  =  \frac{2x - 2 {x}^{4} }{ {( {x}^{4}  + 1)}^{2} }

с

f'(x) =  - 5 {x}^{ - 6}  + ( {x}^{ \frac{5}{2} } )' - 0 =  \\  =  -  \frac{5}{ {x}^{6} }  +  \frac{5}{2}  {x}^{ \frac{3}{2} }  =  -  \frac{5}{ {x}^{6} }   +  2.5x \sqrt{x}

Вас заинтересует