• Предмет: Алгебра
  • Автор: grigoriyleps122
  • Вопрос задан 3 года назад

помогите решить срочно​

Приложения:

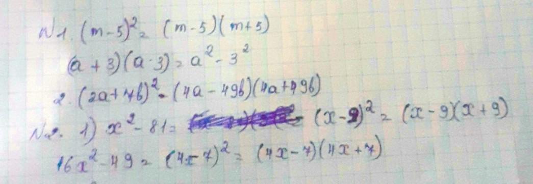
raivonnew: №1 1) 1. (m-5)²=m²-10m+25 2. (a+3)(a-3)=a²-3²=a²-9 2) 1. (2a+7b)²=4a+28ab+49b² 2. (8x+5y)(5y-8x)=25y²-64x² №2 1) 1. x²-81= (x-9)(x+9) 2. 16x²-49=(4x-7)(4x+7) 2) 1. y²-6y+9=(y-3)² 2. 9a²+30ab+25b²=(3a+5b)² №3 (n-6)²-(n-2)(n+2)=n²-12n+36-(n²-4)=n²-12n+36-n²+4=-12n+36+4=-12n+40 №4 (7x+1)(x-3)+20(x-1)(x+1)=3(3x-2)²+13 7x²-21+x-3+20(x²-1)=3(9x-12x+4)+13 7x²-21+x-3+20x²-20=27x-36x+12+13 27x²-20x-23=27x-36x+25 -20x-23=-36x+25 -20x+36x=25+23 16x=48 x=3
raivonnew: надеюсь успела

Ответы

Ответ дал: aidasaparbek2008
1

Объяснение:

Как то так мы сегодня это проходили

Приложения:
Вас заинтересует