• Предмет: Геометрия
  • Автор: kolotenkokristina026
  • Вопрос задан 3 года назад

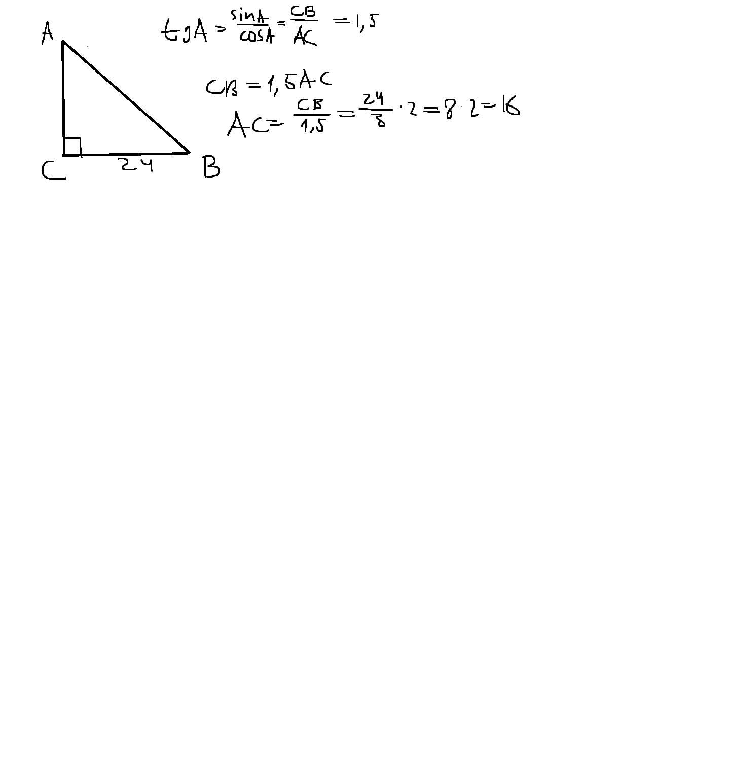
Дан прямоугольник САВ ,СВ=24,С=90° tgA=1,5 Найти АС

Ответы

Ответ дал: iBear
0

Ответ: АС = 16

Объяснение:

Приложения:
Ответ дал: esidorova2017
0

Ответ:

Ас=16

Объяснение

Дан прямоугольный треугольник САВ ,СВ=24,С=90° tgA=1,5

АВ-гипотенуза

СВ- противолежащий катет к  углу А.

АС-прилежащий катет к углу А.

По определению тангенса:

tgA=СВ/АС

1,5 =24/АС⇒

АС=24/1,5=16

   

Вас заинтересует