• Предмет: Алгебра
  • Автор: 7GLISEY2N2
  • Вопрос задан 3 года назад

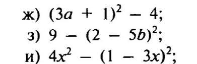
на множители пжпжпжжпжпжпжпжпжпжпжпж​

Приложения:

Ответы

Ответ дал: Farhad67
1

Объяснение:

ж)

 3(3a - 1)(a + 1)

з)

5(1 + 5b)(1 - b)

и)

(5x - 1)(1 - x)

ПРИМЕЧАНИЕ:

 {x}^{2}  -  {y}^{2}  = (x - y)(x + y)


7GLISEY2N2: спасибо но я уже сделал другим пригодится
Вас заинтересует