• Предмет: Математика
  • Автор: Аноним
  • Вопрос задан 3 года назад

1)Решите неравенства

1. |х + 2| > -2

2. |5 – 2х| > 1

3. |х - 3| < 2

4. |х -7| ≤ 0

Помогите пожалуйста

И еще

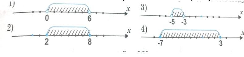
2)Множество чисел х, изображенных на рисунке, запишите в виде неравенства, содержащего переменную под знаком модуля

Контрольная работа

Приложения:

Ответы

Ответ дал: krihinasofya
1
Если я не ошибаюсь то так ,
Приложения:

Аноним: Спасибо
Вас заинтересует