1. Заңдылығын анықта. Сан қатарын толықтыр.
а) қандай сөз түсіп қалған?
төрт — бесік — алмұрт — ? - сандуғаш
сандуғаш — мәртебелі
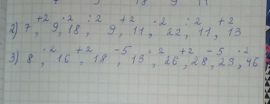
ə) 7, 9, 18, 9, 11, 22, 11, ...
6) 8, 16, 18, 13, 26, 28, 23, ..
Ответы
Ответ дал:
2
Ответ:
Объяснение:
А)Шықпайды тупой деген сөз.
Ә) 7,9,18,9,11,22,11,13,26,23,25,50,25.
Б)8,16,18,13,26,28,23,46,48,43,86,81.
erkinkyzyaauzan154:
спс
Ответ дал:
1
Ответ:
1) төрт-бесік-алмұрт-жетіген-сандуғаш- мәртебелі
2) 7, 9, 18, 9, 11, 22, 11, 13
3) 8, 16, 18, 13, 26, 28, 23, 46
Приложения:

Вас заинтересует
2 года назад
2 года назад
2 года назад
2 года назад
8 лет назад
8 лет назад
9 лет назад