• Предмет: Математика
  • Автор: danamarat2009
  • Вопрос задан 3 года назад



2. Запишите в виде неравенства и в виде числового промежутка множество,

изображенное на координатной прямой:
Помогите пж! Правильно ответьте!

Приложения:

Ответы

Ответ дал: Meltvin
2

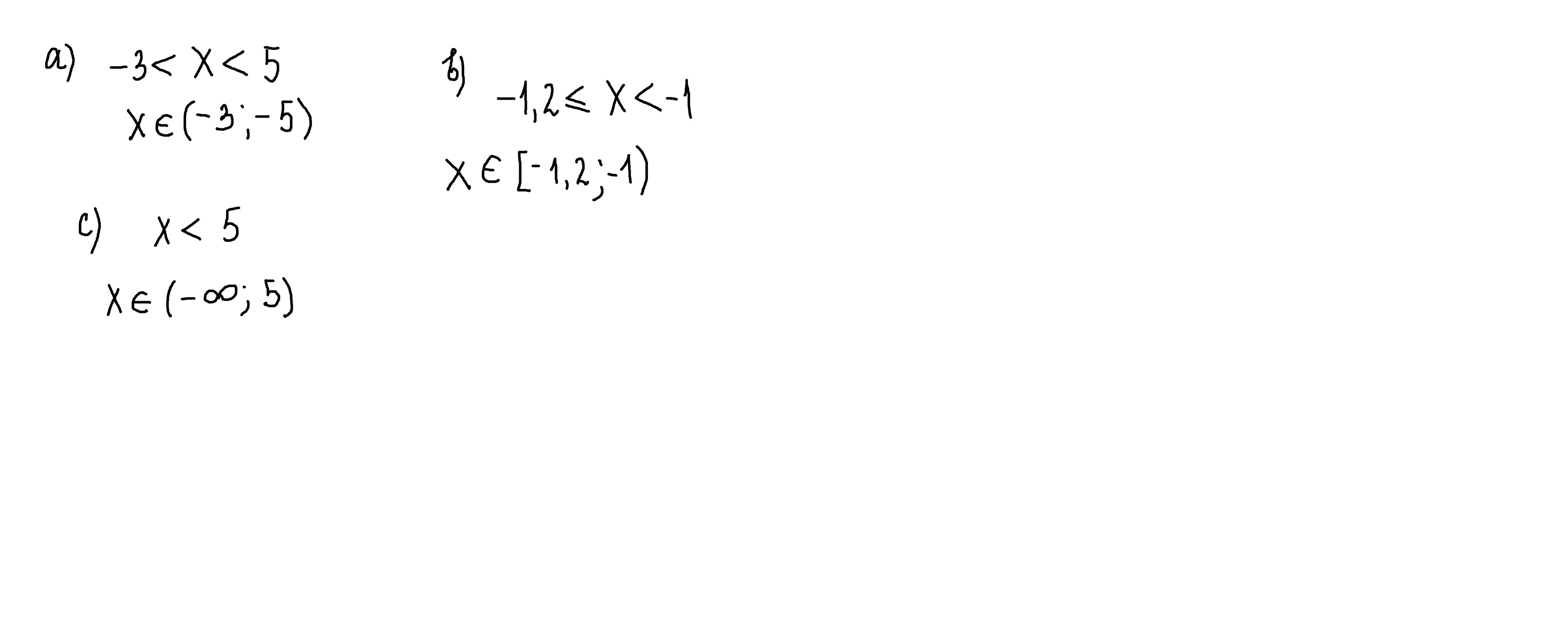
1)

а) (х+3)(х-5)<0

b) {(x+1,2)>=0. (>= - больше или равно)

{((х+1)<0

c) (х-5)<0

2)

В виде числового промежутка:

a)(-3;5)

b)[-1,2;-1)

c)(-бесконечность;5)


Meltvin: А стой я не так задание понял
danamarat2009: Ок
Meltvin: В пункте б) это система из двух уравнений
Ответ дал: parus77
2

Ответ:

Пошаговое объяснение:

когда точка не закрашена(как бы "проколотая"),эта точка не входит в этот промежуток ,неравенство строгое(< > ) и скобка круглая ( )

когда точка закрашена,то она входит в этот промежуток,неравенство нестрогое ≤ ≥ и скобка квадратная [ ]

Приложения:
Вас заинтересует