• Предмет: Математика
  • Автор: gregori228
  • Вопрос задан 3 года назад

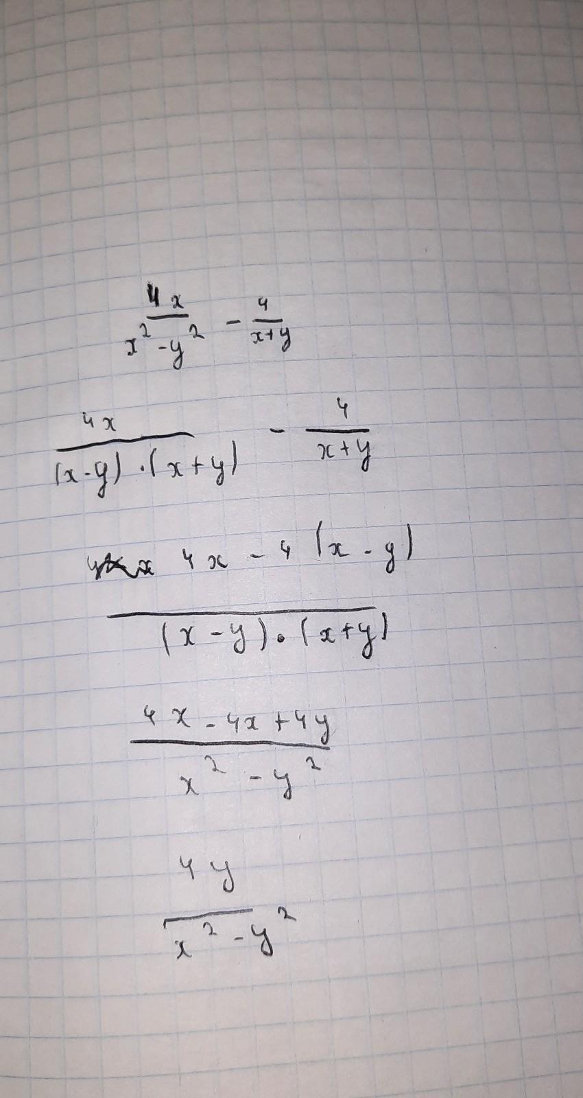
Помогите решить, нечетные с 57

Приложения:

Ответы

Ответ дал: АSKHAT
0

Ответ:

57)))))))))))))))))()(()(((

Приложения:
Вас заинтересует