• Предмет: Алгебра
  • Автор: Lestat97
  • Вопрос задан 11 лет назад

помогите!
Решить уравнения
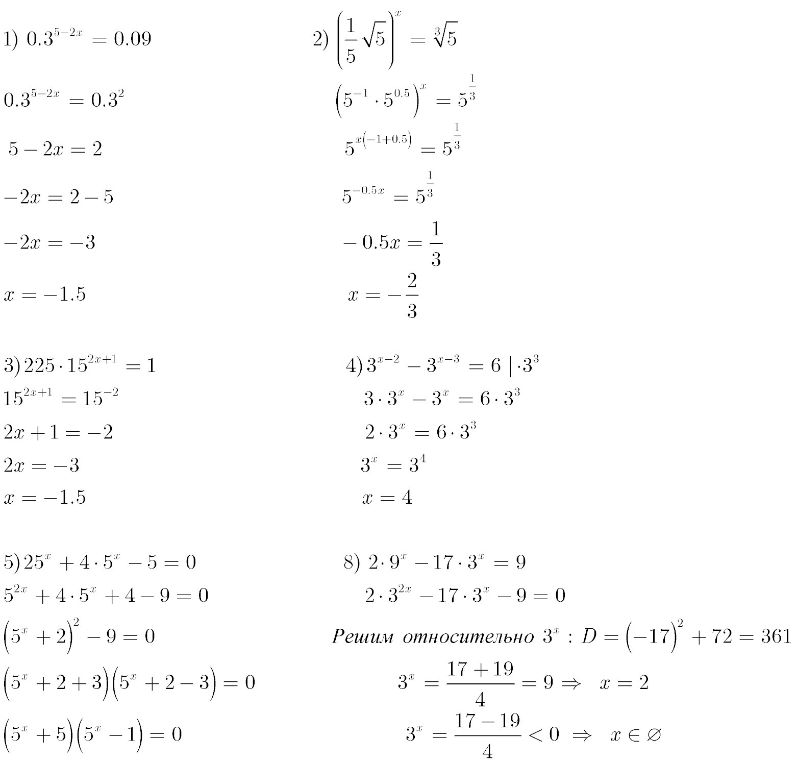
0,3^5-2x=0,09
( 15√5)^x=∛5
225·15^2x+1=1
3^x-2 -3^x-3 =6
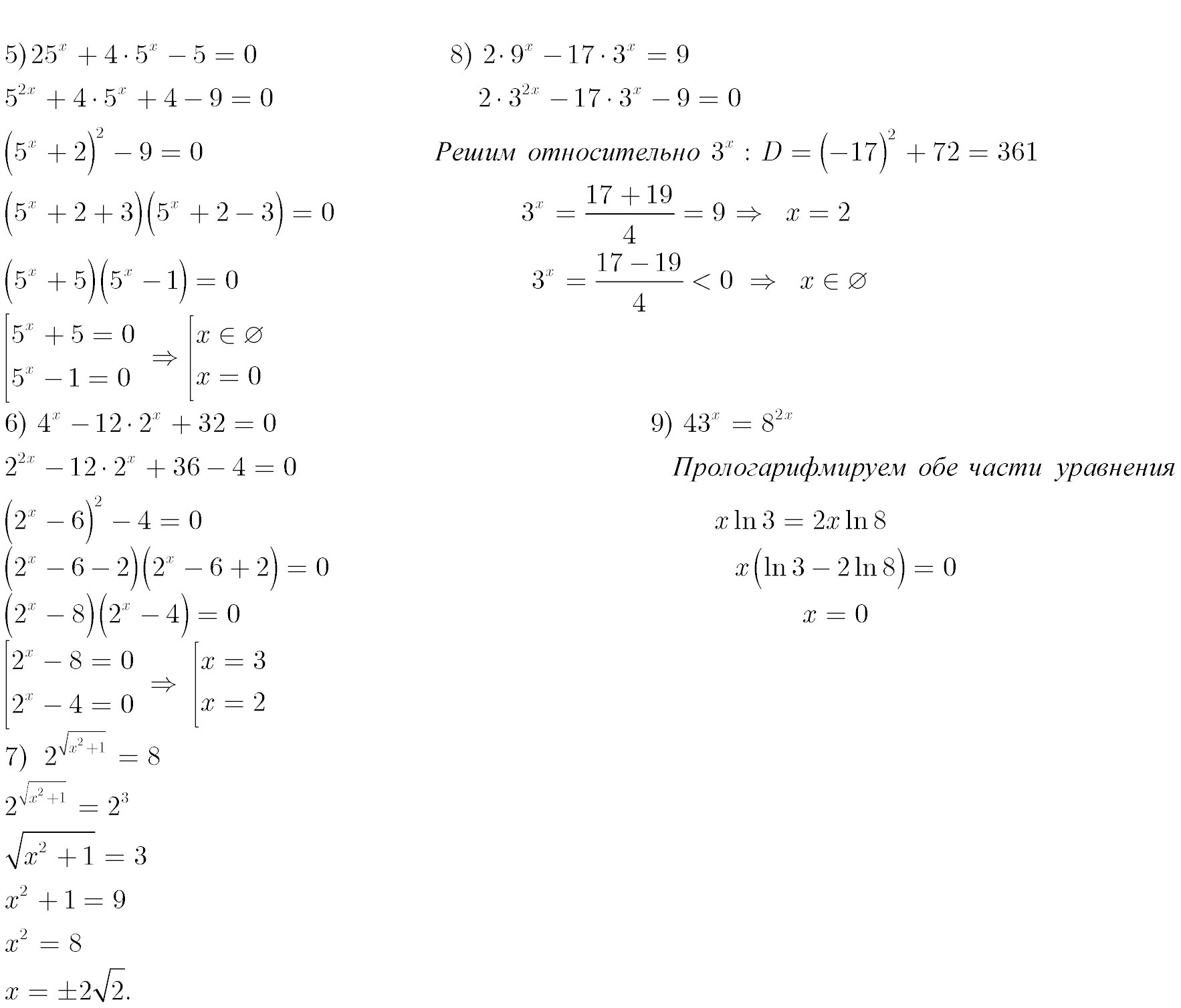
25^x +4·5^x -5=0
4^x-12·2^x +32=0
2^√x2+1=8
2·9^x -17· 3^x=9
43^x=8^2x

Ответы

Ответ дал: Аноним
0

Решение смотрите во вложении.....

Приложения:
Вас заинтересует