Ответы
Ответ дал:
1
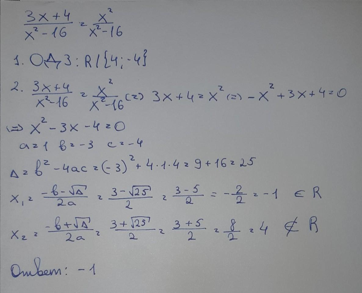
Сначала находим ОДЗ
Потом решаем
Находим дискриминант и его решения
Так как ОДЗ не пропускает 4, то она нам не подходит
Ответ:-1
Приложения:

Вас заинтересует
2 года назад
2 года назад
2 года назад
8 лет назад
8 лет назад
9 лет назад