Ответы
Ответ дал:
0
Ответ:
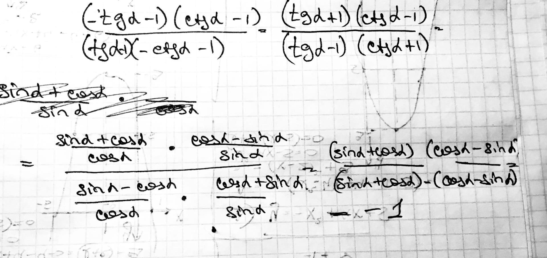
все на фото
ответ верный, в предпоследнем равно минус только забыл поставить, фоткать заново лень
Объяснение:
пяу пяу пяу
Приложения:

Вас заинтересует
2 года назад
2 года назад
2 года назад
8 лет назад
8 лет назад