Ответы
Ответ дал:
1
Ответ:
Как-то так
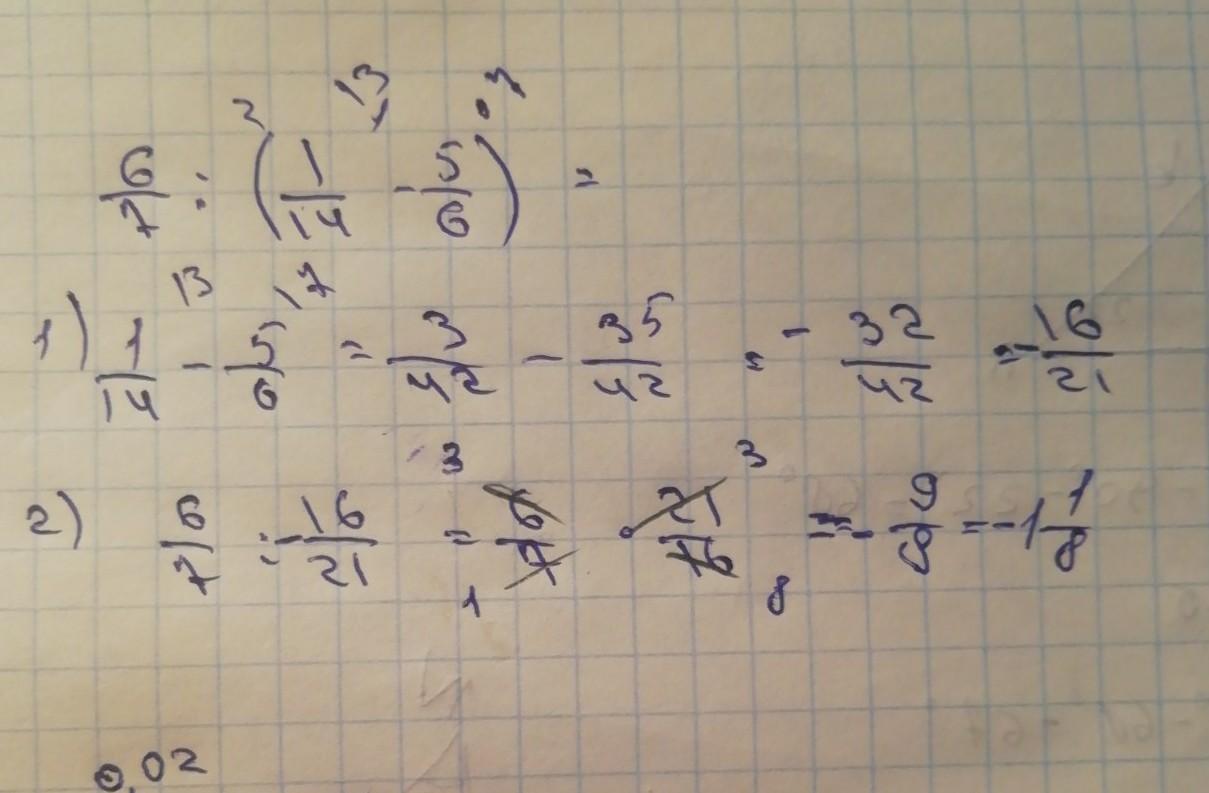
Ответ= - 1 1/8
Приложения:

Ответ дал:
1
Ответ:
-1 1\8
Пошаговое объяснение:
решение внизу
Приложения:

Вас заинтересует
2 года назад
2 года назад
2 года назад
8 лет назад
8 лет назад
9 лет назад
9 лет назад