Ответы
Ответ дал:
1
я написал решение этих двух неравенств на двух листках ===>>
Приложения:


Ответ дал:
1
1)
Приравняем выражение для нахождения корней
, n ∈ Z
Это решение можно записать в совокупность
, n ∈ Z
Из рисунка(вложения) видно, что решения, которые больше, находятся выше решений уравнения
Из этого следует, что решением неравенства является
, n ∈ Z
2)
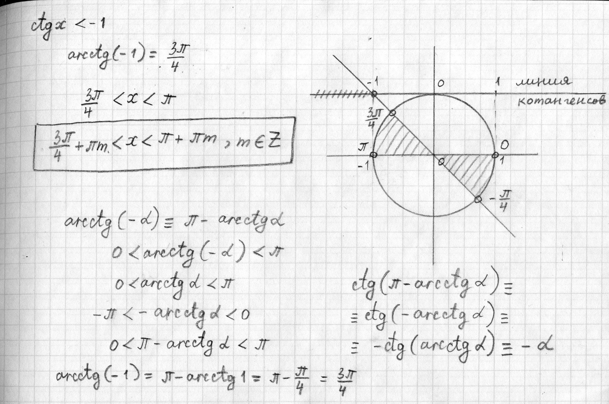
Снова приравняем выражение для нахождения корней
, n ∈ Z
Котангенс и тангенс отрицательны во 2 и 4 четвертях и решение будет как на 2 рисунке во вложении,т.е
x ∈ , n ∈ Z
Приложения:

Вас заинтересует
2 года назад
2 года назад
8 лет назад
8 лет назад
9 лет назад