• Предмет: Математика
  • Автор: ldclunsy
  • Вопрос задан 3 года назад

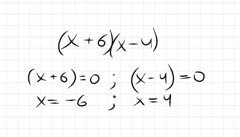
(x+6)(x-4)=0 пжпжпжпжпжпжпжпжпж

Ответы

Ответ дал: Prisiagaaa
0

1. x+6=0

x=-6

2. x-4=0

x=4

Ответ дал: Len4irik
0

Ответ:

Пошаговое объяснение:

Приложения:
Вас заинтересует