• Предмет: Математика
  • Автор: Аноним
  • Вопрос задан 3 года назад

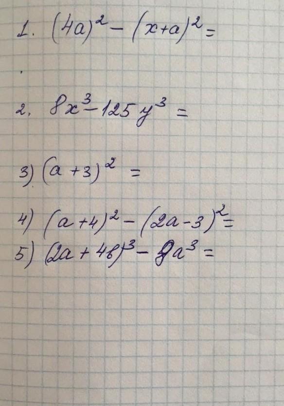
помогите решить примеры не тему :формулы сокращённого Умножения ​

Приложения:

Ответы

Ответ дал: dollob
0

Ответ:

пример 1.

(4а)² - (х+а)² = (4а-(х+а))(4а+(х+а)) = (3а-х)(5а+х)

пример 2.

8х³ - 125у³ = (2х)³-(5у)³ = (2х-5у) × ((2х)²+2х5у+(5у)²) = (2х-5у)(4х²+10ху+25у³

Вас заинтересует