• Предмет: Алгебра
  • Автор: Аноним
  • Вопрос задан 3 года назад

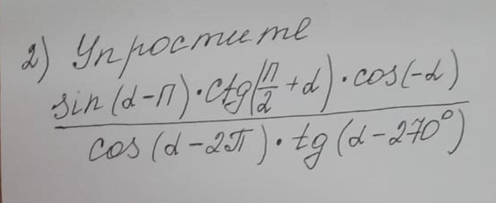
сделайте пожалуйста​

Приложения:

Ответы

Ответ дал: sangers1959
1

Объяснение:

\frac{sin(\alpha -\pi )*ctg(\frac{\pi }{2}+\alpha ) *cos(-\alpha )}{cos(\alpha -2\pi )*tg(\alpha -270^0)} =\frac{-sin\alpha *(-tg\alpha )*cos\alpha }{cos(2\pi -\alpha )*(-tg(270^0-\alpha )}=\frac{sin\alpha *\frac{sin\alpha }{cos\alpha}*cos\alpha   }{cos\alpha *(-ctg\alpha )} =\\=- \frac{sin\alpha *\frac{sin\alpha }{cos\alpha}*cos\alpha   }{cos\alpha *\frac{cos\alpha }{sin\alpha } } =-\frac{sin^2\alpha*sin\alpha  }{cos^2\alpha } =-sin\alpha *tg^2\alpha .

Вас заинтересует