СРОЧНО ПОМОГИТЕ С АЛЕГЕБРОЙ ООЧЕЕННЬ НАДО
Преобразуйте выражение
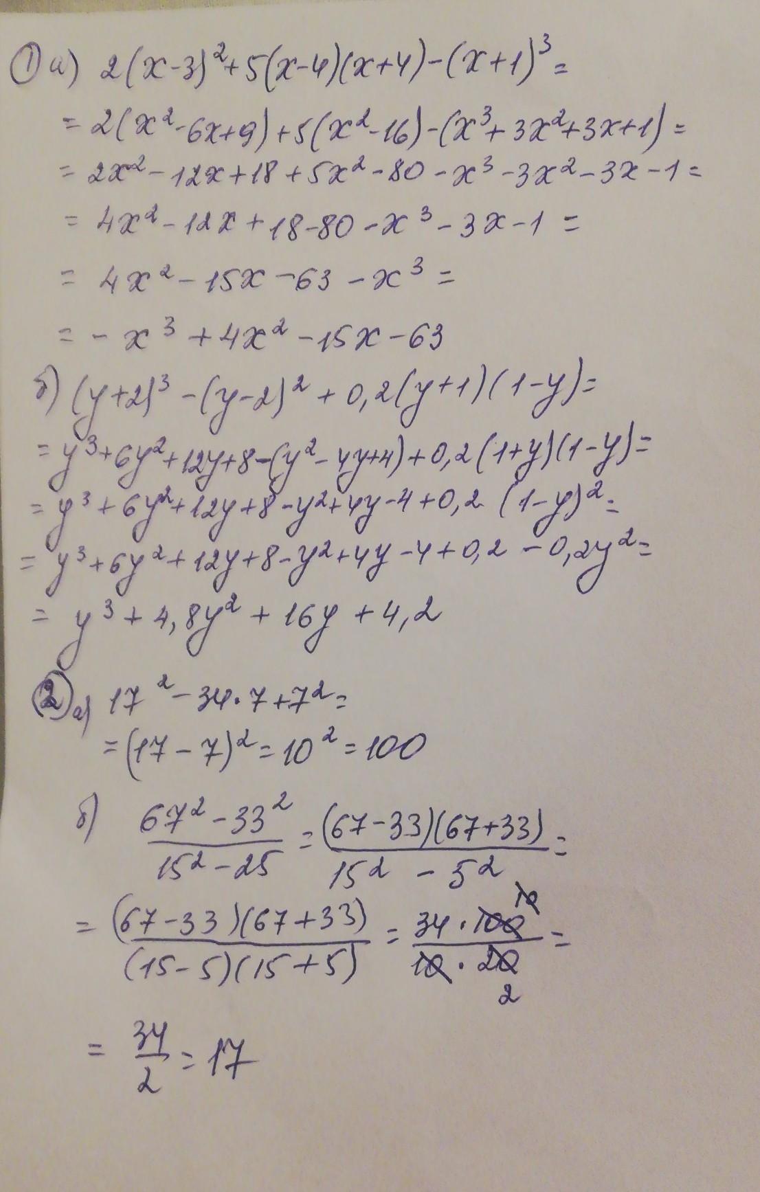
(y+2)^(3) - (y-2)^(2) + 0,2 (y+1) (1-y)
в фото №1 - б
Приложения:

Ответы
Ответ дал:
1
Ответ:
Смотри решение на фото
Приложения:

uldanovkamil116:
лучший
Вас заинтересует
2 года назад
8 лет назад