• Предмет: Математика
  • Автор: vvvvvvvvvvvvvvsss
  • Вопрос задан 3 года назад

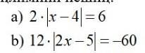
Помогите пожалуйста сор по матем 6 класс​

Приложения:

Ответы

Ответ дал: kseniasadrina66
1

Ответ:

а) х₁=1,х₂=7

b) утверждение ложное для любого значения х

Пошаговое объяснение:

|х-4|=3

х-4=3

х-4=-3

х=7

х=1

х₁=1,х₂=7

прости если не верно будет )

Вас заинтересует