• Предмет: Алгебра
  • Автор: sndrr838373838
  • Вопрос задан 3 года назад

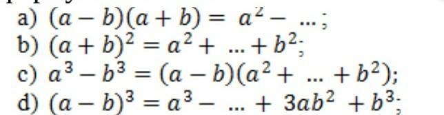
Укажите пропущенный в формуле элемент:​

Приложения:

Ответы

Ответ дал: lipton162
1

а) а²-b²

b) a²+2ab+b²

c) (a-b)(a²+ab+b²)

d) a³-3a²b+3ab²-b³

Объяснение:

пожалуйста ^^

Вас заинтересует