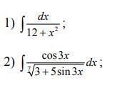
ПОЖАЛУЙСТА РЕШИТЕ Неопределенные интегралы. ставлю 50 баллов.
кто будет спамить буду кидать жалобы. ))))))))))))))))))))))
Приложения:

Ответы
Ответ дал:
2
Ответ:
1.
2.
karina200320000:
2 задание вы совсем другое уравнение решили)) посмотрите пожалуйста в моем профиле еще есть задания тоже с неопределёнными интегралами
Вас заинтересует
2 года назад
2 года назад
2 года назад
8 лет назад
8 лет назад