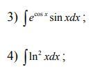
ПОЖАЛУЙСТА РЕШИТЕ Неопределенные интегралы.!!!!!!!!!!!!!!!!!!!!!!! ставлю 60 БАЛЛОВ!!!!!!!
Приложения:

Ответы
Ответ дал:
2
Ответ:
решение на фотографии.
Приложения:

Вас заинтересует
2 года назад
2 года назад
2 года назад
8 лет назад
9 лет назад
9 лет назад