Ответы
Ответ дал:
0
Ответ:
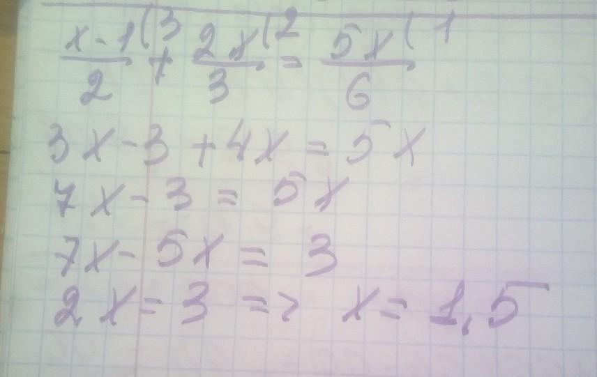
решение смотри на фотографии
Приложения:

scorpion77777:
здравствуйте, можете помочь, нужно один простенький пример решить (упростить выражение)
Вас заинтересует
2 года назад
2 года назад
2 года назад
2 года назад
8 лет назад
8 лет назад
9 лет назад