• Предмет: Математика
  • Автор: AXAXAXAXXAXXAX
  • Вопрос задан 3 года назад

Реши уравнение.
3x = 21; x =
3x + 6 = 0; x =
3x + 2 = −10; x =
4z = 20; z =
4z − 10 = 0; z =
4z − 7 = 29; z =
y − 5 = 2; y =
5 + 4z = 1; z =
5 − 3x = −16; x =
x + 6 = 4; x =
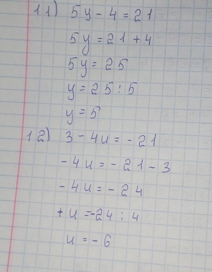
5y − 4 = 21; y =
3 − 4u = −21; u =

Ответы

Ответ дал: dlobanova502
1

Вот ответ!!

Смотри выше

Приложения:
Вас заинтересует