• Предмет: Математика
  • Автор: hih948921
  • Вопрос задан 3 года назад

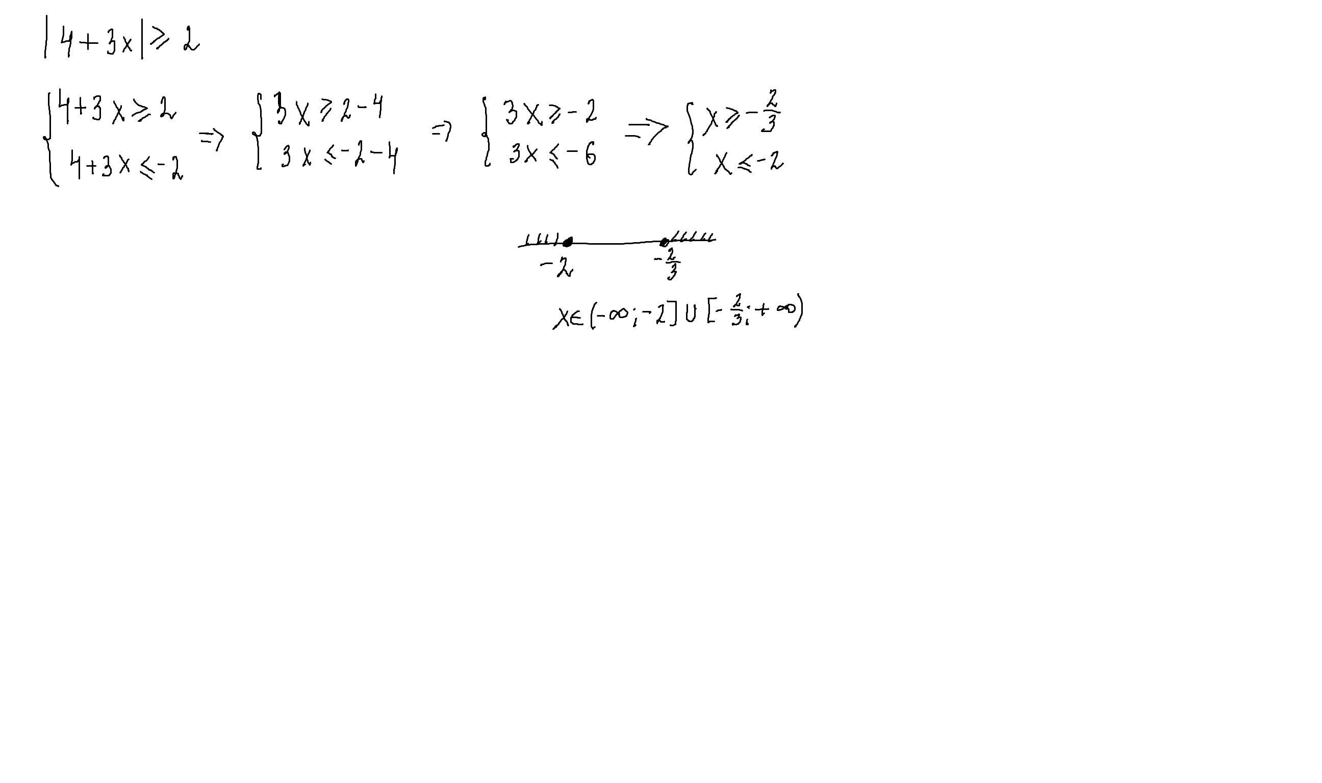
[4+3x]≥2 ..............​

Ответы

Ответ дал: nadyashurgina
1

Ответ:

Пошаговое объяснение:

Приложения:

hih948921: спасибо ❤️
Вас заинтересует