Решите пожалуйста!!!!
Очень надо!!!
Задание:
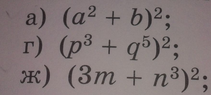
Используя формулу квадрата суммы,преобразуйте выражение в многочлен стандартного вида.
см.фото
Приложения:

Ответы
Ответ дал:
0
Вас заинтересует
2 года назад
2 года назад
8 лет назад
8 лет назад
10 лет назад