• Предмет: Математика
  • Автор: komarovav973
  • Вопрос задан 3 года назад

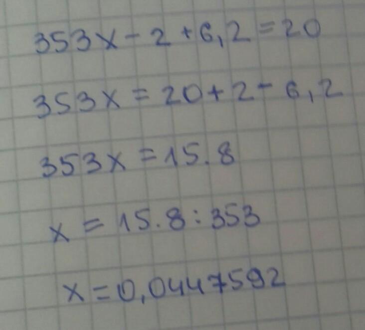
Решите уравнение 3 5 3х-2+6,2=20

Ответы

Ответ дал: Applegate
5

Ответ:

Решение на фотографии.

Приложения:

Applegate: Если не сложно, отметьте, пожалуйста, как лучший ответ
Вас заинтересует