Ответы
Ответ дал:
1
Ответ:
решение смотри на фотографии
,
Приложения:


Ответ дал:
1
Ответ:
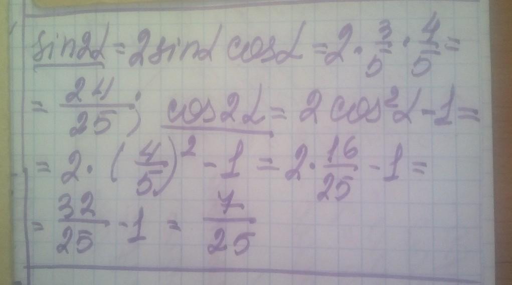
cos(2x) = 7/25
sin(2x) = 24/25
Объяснение:
sin(x) = sqrt(1-16/25)
sin(x) = 3/5
cos(2x) = 16/25-9/25 = 7/25
sin(2x)=2*4/5*3/5 = 24/25
есть некоторая неоднозначность тк не указано в каких пределах лежит alpha так что ответ может быть не верным
Вас заинтересует
2 года назад
2 года назад
2 года назад
8 лет назад
9 лет назад