• Предмет: Математика
  • Автор: karina200320000
  • Вопрос задан 3 года назад

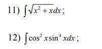
ПОЖАЛУЙСТА РЕШИТЕ Неопределенные интегралы. ставлю 50 баллов.

Приложения:

Ответы

Ответ дал: palilov243659
1

Ответ:

Пошаговое объяснение:

/////////////////////////////////

Приложения:

karina200320000: спасибо вам большое хороший человек!!!!!
palilov243659: от хорошего слышу, на здоровье
karina200320000: ))))
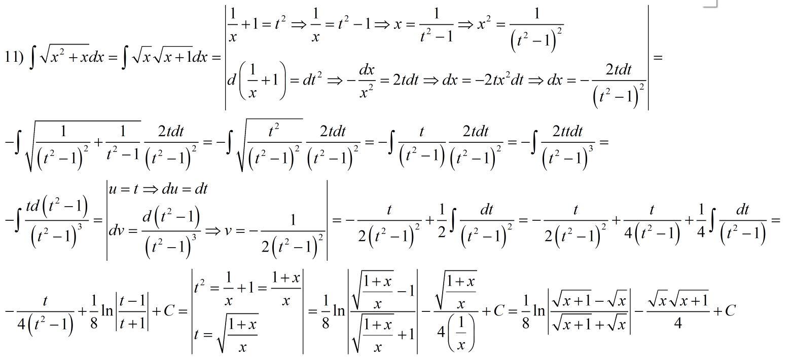
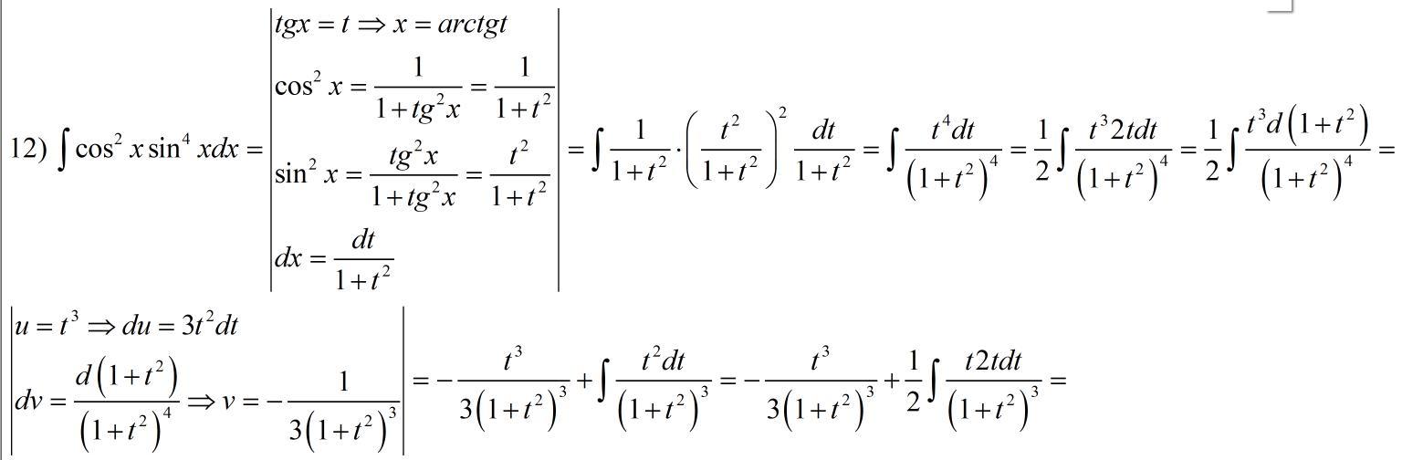
palilov243659: в 11 в конце поменяй знаки
Вас заинтересует