• Предмет: Математика
  • Автор: meerimsalmorbekova25
  • Вопрос задан 3 года назад

решите уравнение пожалуйста ​

Приложения:

Ответы

Ответ дал: theymohety
2

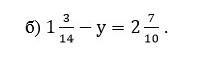
1 \ \frac{3}{14}  - y = 2 \ \frac{7}{10}

 \frac{17}{14}  - y =  \frac{27}{10}

 - y =  \frac{27}{10}  -  \frac{17}{14}

 - y =  \frac{52}{35}

y =  -  \frac{52}{35}


meerimsalmorbekova25: спасиб паклоник бтс
theymohety: пожалуйста)
meerimsalmorbekova25: моя сестра тожетпоклоник бтс
Вас заинтересует