Ответы
Ответ дал:
0
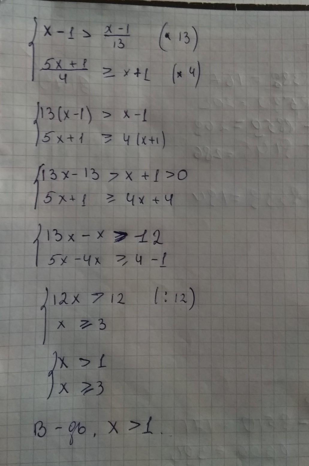
також можна зобразити на числові прямій.
Приложения:

Вас заинтересует
2 года назад
2 года назад
2 года назад
8 лет назад