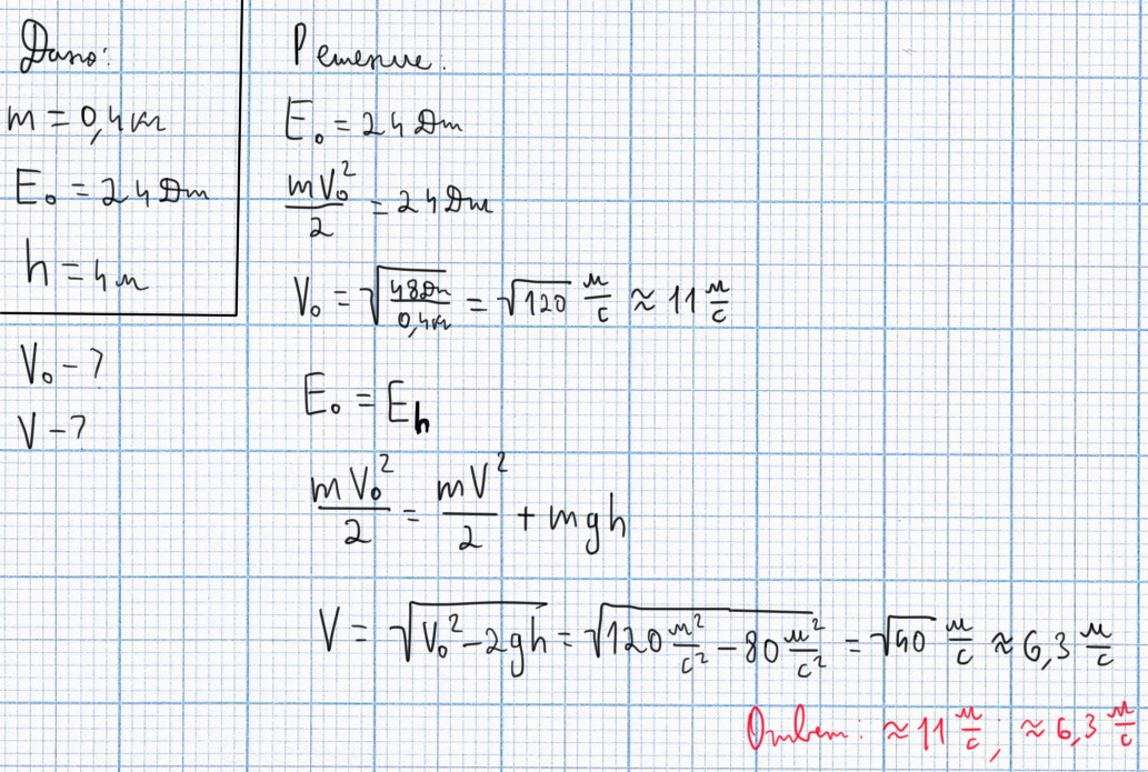
камень массой m бросили под углом к горизонту с начальной скоростью V0. Его начальная кинетическая энергия E0. на высоте h скорость камня V.
найдите V0 и V.(сопротивление воздуха не учитывайте)
m=0,4 кг
E0=24 Дж
h=4 м
Ответы
Ответ дал:
0
Решение на картинке.
Приложения:

Вас заинтересует
2 года назад
8 лет назад
8 лет назад
10 лет назад
10 лет назад